
|
|
|
scorciatoie
|
| sei
qui: > home > offerta formativa > ingegneria meccatronica > elenco degli insegnamenti > meccanica degli azionamenti > home page del corso > materiale didattico > forze e potenza |
| FORZE E POTENZA |
Meccanica degli Azionamenti
a cura di Michele Trancossi
Forze e potenza

Principali tipi di forze e calcolo della potenza e dei contributi che devono essere aggiunti alle azioni ridotte
Vediamo in questo capitolo di esplicitare i diversi tipi di forze e di andarli ad esplicitare.
1. Forza Peso


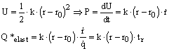
2. Forze elastiche

3. Forze viscose


4. Forze di attrito coulombiano


L'espressione della potenza che si ottiene in presenza di attriti coulombiani contiene un termine reattivo. Introduce pertanto nel sistema una seconda incognita.
Per studiare il sistema bisogna pertanto studiare tutto il cinematismo.
|
|