|
|
scorciatoie
|
| sei
qui: > home > offerta formativa > ingegneria meccatronica > elenco degli insegnamenti > meccanica degli azionamenti > home page del corso > materiale didattico > caso generale dell'approccio newtoniano |
| CASO GENERALE DELL'APPROCCIO NEWTONIANO |
Meccanica degli Azionamenti
a cura di Michele Trancossi
Caso generale dell'approccio Newtoniano

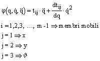
Analiziamo ora un Sistema a m membri compreso il telaio
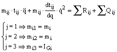
Consideriamo il caso generale di un sistema ad m membri compreso il telaio. In questo caso possiamo scrivere per ciascun membro le equazioni dei principi della dinamica:

se il membro possiede un punto fisso O la terza equazione diventa:

A tali equazioni si vanno ad aggiungere le eventuali reazioni esterne dovute ai vincoli.
La soluzione generale del problema diventa del tipo:

Nel caso di sistemi ad un grado di libertà la soluzione diventa del tipo:





che in forma di Matrice diventa

|